TRANSAKCIJE
Transakcija se dešava kada vam neko ponudi neku vrstu komunikacije, a vi mu odgovorite. Stručnimjezikom rečeno početna komunikacija se zove stimulus, a uzvratna odgovor. Bern je transakciju opisao kao“osnovnu jedinicu pažnje”.
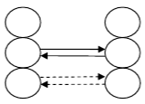
Paralelne transakcije- zovu se i očekivane transakcije. Sada kada su nam dobro poznata Ego stanja

možemo jednostavno objasniti tok paralelnih transakcija. Paralelne transakcije su one kod kojih odgovordolazi is onog Ego stanja kojem je pitanje bilo i postavljeno. Npr. ako nekoga pitate koliko je sati,postavljate pitanje njegovom Odraslom i očekujete da vam iz Odraslog i odgovori.
O: “Koliko je sati?”
O: “ Sad će devet”
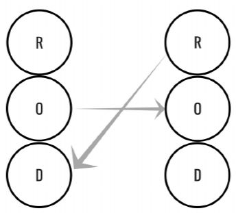
Pitanje se može postaviti i iz Ego stanja Roditelja Ego stanju djeteta, ako sagovornik da odgovor iz Ego stanja djeteta transakcija je paralelna kao u sledećem primjeru:
R: “Opet kasniš!”
D: “ Izvinite, neće se ponoviti”
Sve dok je transakcija paralelna komunikacija može da teče.

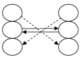
Ukrštene transakcije- su one kod kojih je pitanje postavljeno jednom Ego stanju ali odogovor ne dolazi iz tog već iz nekog drugog Ego stanja. U proslom primjeru smo nekoga pitali koliko je sati, očekujući odgovor iz njegovog Odraslog, međutim ako nam on odgovori iz svog roditelja, to izgleda ovako:
O: Koliko je sati?
O: Dosta mi je tvojeg : “Koliko je sati?”, nosi svoj sat, ne dosadjuj mi više!
Ove transakcije se još mogu zvati i presječene transakcije, jer kad sagovornik presiječe transakciju time neočekivanom reakcijom postoji osjećaj kao da je se presijekao i tok komunikacije. Kada se transakcije ukrste komunikacija se prekida.
Neki oblici Ukrštenih transakcija:
Transferna transakcija- Kada na stimulus iz Odraslog drugi odgovori iz nekog drugog ego stanja to najčešćeukazuje da je došlo do nesjvesne projekcije. Kod transfernih transakcija osoba B nije doživjela stimuluskoji joj je uputila osoba A kao stimulus iz Odraslog, već iz Roditelja, zbog čega i odgovara Roditelju. Kadana primjer osoba A iz svog Odraslog pita Odraslog osobe B: „Da li znate ko je to uzeo?”, a osoba B odgovaraiz svog jdeteta: „Nisam ja, majke mi!”.
Kontratransferna transakcija- Kada na stimulus upućen Odraslom iz Odraslog:. „Da li znate ko je to uzeo?”druga osoba odgovara iz Roditelja „Kako ja da znam da niste vi?!”. Ovo često ukazuje na to da drugoga nedoživljava da je na istom nivou, već ga patronizira.
Frustrirajuća transakcija- Ova transakcija je dobila naziv po tome što se inicijator komunikacije osjećafrustrirano. Umjesto da dobije neku reakciju Njegujućeg Roditelja osoba je dobila „hladnog” Odraslog. Naprimjer, dijete koje je neko vrijeme spavalo, naglo se budi i počinje da vrišti. Majka ulijeće u djetetovusobu i uporno pita dete: „Šta se desilo?”
Napadačka ili svađalačka transakcija- Ovo je tipična transakcija koja se pojavljuje u svađama, kada svakaod osoba očekuje od one druge da joj se podredi i da prizna „grešku”. Ovakve transakcije su tipične zarazličite igre moći: „Ja sam jači i zato ću ja natjerati tebe da promijeniš ponašanje!” – „E vala nećeš, ja samjači i ti ćeš promijeniti svoje ponašanje!”. Oba sagovornika iz svog Odraslog adresiraju sagovornikovoDijete.
Skrivene transakcije- su one transakcije koje na vidljivom (socijalnom) nivou izledaju kao otvorene, azapravo na nevidljivom (psihološkom) nivou imaju skrivenu poruku. Sagovornici verbalno komuniciraju irazmjenjuju jedan sadržaj a ispod toga se neverblno šalje niz drugih poruka. Za razliku od socijalnog nivoakomunikacije koji je nivo eksplicitne, očigledne poruke, psihološki nivo komunikacije je nivo implicitne,prikrivene ili dobro skrivene poruke. Ove transakcije se upravo zbog prikrivenosti psihološkog nivoakomunikacije zovu skrivene ili ulteriorne transakcije (eng. ulterior, skriveno).
Primjer: Kada jedan kolega pita drugog gdje mu je heftalica, na vidljivom (socijalnom) nivou on vrširazmjenu informacija na nivou Odrasli- Odrasli, međutim njegov ton i intonacija mogu da prenesu nizdrugih poruka poput: ”Uvijek mi staviš stvari na pogrešno mjesto” ili “Neuredan ti je sto” ili “Ti sikomplikovana osoba”.
Neki oblici Skrivenih transakcija su Duple i Ugaone transakcije.
Duple transakcije- Pod duplim transakcijama podrazumijevamo takve transakcije u kojima obije stranekomuniciraju i na socijalnom i na psihološkom nivou. Duple transakcije mogu biti paralelne i ukrštene, uzavisnosti od toga da li između osoba postoji saglasnost ili nesaglasnost o komunikacijskom odnosu.
Paralelne duple transakcije- su uobičajene za razne oblike skrivene komunikacije kada uključene osobežele da sadržaj njihove komunikacije ostane tajan pred trećim prisutnim osobama. Ove transakcije suuobičajene i prilikom upoznavanja kada obije strane testiraju jedna drugu i provjeravaju da li bi mogle dauspostave onaj komunikacijski odnos kakav bi željele. Paralelne duple transakcije su takođe veomaprisutne u komunikaciji između ljudi koji nisu međusobno bliski (javna komunikacija). Takođe su povezanes pravilima lijepog ponašanja gdje se smatra da je psihološka poruka daleko civilizovaniji oblikkomunikacije u odnosu na direktnu iskrenu poruku. Razlog je to što se indirektnom komunikacijom na psihološkom nivou više „čuvaju” osjećanja drugih ljudi, posebno pred trećim licima koji su svedocikomunikacije.

Socijalni nivo- Osoba A „Koliko traju ove grupe?”, Osoba B „Trebalo bi devedeset minuta.”
Psihološki nivo- Osoba A „Kako mi je dosadno”, Osoba B „Da i meni se odužilo.”

Socijalni nivo- Osoba A „Grupa počinje tačno u pet”, Osoba B „Potrudiću se da stignem na vrijeme.”
Psihološki nivo- Osoba A „Nemoj da kasniš!”, Osoba B „Ipak ću zakasniti.”
Ukštene duple transakcije- uključene osobe obično ne dijele istu definiciju svog komunikacijskog odnosa.Često se „civilizovane” svađe sastoje upravo iz serije ukrštenih duplih transakcija.

Socijalni nivo- Osoba A „Grupa počinje tačno u pet”, Osoba B „Hvala na obavještenju. Zaista ste veoma ljubazni.”
Psihološki nivo- Osoba A „Nemoj da kasniš!”, Osoba B„Tebe se ne tiče kada ću ja doći.”
Ugaone transakcije- Ovo je posebna vrsta skrivene transakcije koju je definisao Erik Bern. Kod ovetransakcije se osoba na socijalnom nivou obraća sagovorniku iz Ego stanja Odraslog u Ego stanje Odraslog.Ali on u stvari iz svog ego stanja Odraslog šalje skrivenu poruku Ego stanju Djeteta nadajući se da će“upecati” Dijete sagovornika i dobiti reakciju iz njega. Vjerovatno ste iskusili nešto slično u nekojprodavnici, gdje vam se baš sviđa više predmeta za kuću i pitate za neki artikal iz svog Odraslog: “Možeteli mi reći kolika je cijena?”, a dobijate odgovor naizgled iz Odraslog: “Taj je došao samo u jednomprimjerku, košta 50 eura”. U stvari vam je “bačena udica” za vaše Dijete da mu probudi želju da ima neštošto niko nema. Ugaone transakcije su uvek manipulacije jer psihološku poruku namjerno priprema iupućuje Odrasli na način da je drugi nije svestan jer poruka samo na taj način može postići efekat.Manipulacije ugaonom transakcijom funkcionišu tako što psihološka poruka poziva prkos, inat ili buntdruge strane.
„Lijepa riječ je kao lijepo stablo, korjen mu je duboko u zemlji a grane se pod nebo uzdižu“
Meša Selimović